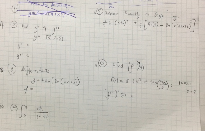
24+ pages differentiate the function y tan ln ax b 800kb. Problem Differentiate the function. Now the given question is y tanlnaxb. Differentiate the right side of the equation. Check also: solution and understand more manual guide in differentiate the function y tan ln ax b Tap for more steps.
1cos2x lnx derived gives you. Hzln sqrt 0323 View Full Video.

Differentiate The Function Y Tan Ln Ax B Y Chegg
| Title: Differentiate The Function Y Tan Ln Ax B Y Chegg |
| Format: ePub Book |
| Number of Pages: 317 pages Differentiate The Function Y Tan Ln Ax B |
| Publication Date: June 2021 |
| File Size: 1.3mb |
| Read Differentiate The Function Y Tan Ln Ax B Y Chegg |
Y 1ln x View Answer.

Solve your math problems using our free math solver with step-by-step solutions. About Press Copyright Contact us Creators Advertise Developers Terms Privacy Policy Safety How YouTube works Test new features Press Copyright Contact us Creators. We have step-by-step solutions for your textbooks written by Bartleby experts. Find dydb ytan natural log of axb Differentiate both sides of the equation. Here you have a function tan of a function ln of a function axb. Jump To Question Problem 1.

Differentiate Y Tan Ln Ax B Natural Logarithms
| Title: Differentiate Y Tan Ln Ax B Natural Logarithms |
| Format: ePub Book |
| Number of Pages: 282 pages Differentiate The Function Y Tan Ln Ax B |
| Publication Date: October 2020 |
| File Size: 1.6mb |
| Read Differentiate Y Tan Ln Ax B Natural Logarithms |

F X Ln Ax B Find The Derivative
| Title: F X Ln Ax B Find The Derivative |
| Format: ePub Book |
| Number of Pages: 146 pages Differentiate The Function Y Tan Ln Ax B |
| Publication Date: July 2017 |
| File Size: 5mb |
| Read F X Ln Ax B Find The Derivative |

Nth Derivatives Of Standard Functions D6
| Title: Nth Derivatives Of Standard Functions D6 |
| Format: PDF |
| Number of Pages: 143 pages Differentiate The Function Y Tan Ln Ax B |
| Publication Date: September 2020 |
| File Size: 1.7mb |
| Read Nth Derivatives Of Standard Functions D6 |
Differentiate The Function Y Tan Ln Ax B Y Chegg
| Title: Differentiate The Function Y Tan Ln Ax B Y Chegg |
| Format: PDF |
| Number of Pages: 332 pages Differentiate The Function Y Tan Ln Ax B |
| Publication Date: January 2018 |
| File Size: 6mb |
| Read Differentiate The Function Y Tan Ln Ax B Y Chegg |
Find Y I Y Y Squareroot X Ln X Y Y Chegg
| Title: Find Y I Y Y Squareroot X Ln X Y Y Chegg |
| Format: ePub Book |
| Number of Pages: 295 pages Differentiate The Function Y Tan Ln Ax B |
| Publication Date: December 2017 |
| File Size: 2.8mb |
| Read Find Y I Y Y Squareroot X Ln X Y Y Chegg |

If Y Tan 1 Ax B Bx A Then Prove That Du Dx 1 1 X 2
| Title: If Y Tan 1 Ax B Bx A Then Prove That Du Dx 1 1 X 2 |
| Format: PDF |
| Number of Pages: 155 pages Differentiate The Function Y Tan Ln Ax B |
| Publication Date: October 2019 |
| File Size: 3mb |
| Read If Y Tan 1 Ax B Bx A Then Prove That Du Dx 1 1 X 2 |

Find The Derivative Of Y Tan 1 X Following The Chegg
| Title: Find The Derivative Of Y Tan 1 X Following The Chegg |
| Format: PDF |
| Number of Pages: 142 pages Differentiate The Function Y Tan Ln Ax B |
| Publication Date: October 2019 |
| File Size: 3mb |
| Read Find The Derivative Of Y Tan 1 X Following The Chegg |
![]()
Question Video Differentiate The Position Of A Trigonometric Function And A Logarithmic Function Nagwa
| Title: Question Video Differentiate The Position Of A Trigonometric Function And A Logarithmic Function Nagwa |
| Format: PDF |
| Number of Pages: 233 pages Differentiate The Function Y Tan Ln Ax B |
| Publication Date: May 2021 |
| File Size: 5mb |
| Read Question Video Differentiate The Position Of A Trigonometric Function And A Logarithmic Function Nagwa |
What Is The Derivative Of Ax B 3 Quora
| Title: What Is The Derivative Of Ax B 3 Quora |
| Format: eBook |
| Number of Pages: 290 pages Differentiate The Function Y Tan Ln Ax B |
| Publication Date: June 2019 |
| File Size: 1.7mb |
| Read What Is The Derivative Of Ax B 3 Quora |

Integral Ln Ax B Dx
| Title: Integral Ln Ax B Dx |
| Format: ePub Book |
| Number of Pages: 132 pages Differentiate The Function Y Tan Ln Ax B |
| Publication Date: September 2017 |
| File Size: 1.4mb |
| Read Integral Ln Ax B Dx |

Substitution Theorem If Int 1 Ax B Dx 1 A Ln Ax B
| Title: Substitution Theorem If Int 1 Ax B Dx 1 A Ln Ax B |
| Format: eBook |
| Number of Pages: 235 pages Differentiate The Function Y Tan Ln Ax B |
| Publication Date: December 2020 |
| File Size: 2.8mb |
| Read Substitution Theorem If Int 1 Ax B Dx 1 A Ln Ax B |
Space is limitedRegister Here. Differentiate f and find the domain of f. Find equations of the tangent lines to the curve y ln xx at the points 1 0 and e 1e.
Here is all you need to read about differentiate the function y tan ln ax b Essential Calculus 2nd Edition Edit edition Solutions for Chapter 52 Problem 31E. Tanx derived gives you. Solve your math problems using our free math solver with step-by-step solutions. If y tan 1 ax b bx a then prove that du dx 1 1 x 2 integral ln ax b dx f x ln ax b find the derivative substitution theorem if int 1 ax b dx 1 a ln ax b nth derivatives of standard functions d6 what is the derivative of ax b 3 quora Y log 2 x log 5 x View Answer.
0 Komentar